(1) 고유기저

변환 T는 Rn -> Rn으로 사상하는 변환이고, T(x) = Ax로 나타낼 수 있다.
만약, n개의 선형독립인 고유벡터로 이뤄진 행렬 A가 있다고 가정해보자.
A가 {v1, v2, ..., vn}의 벡터로 이뤄져있으며, 이러한 고유기저벡터 집합을 B라고 해보자.
각 고유벡터를 변환 T해보자.
T(v1) = Av1 = λ1v1 + 0v2 + ... + 0vn (λ1은 고유값)
T(v2) = Av2 = 0v1 + λ2v2 + ... + 0vn
...
T(vn) = Av1 = 0v1 + 0v2 + ... + λnvn
앞에서 했던 기저변환에 대한 내용을 살짝 정리해보면,
x에 A를 곱해주면 T(x)
x에 C-1을 곱해주면 [x]B
[x]B에 C를 곱해주면 x
[x]B에 D를 곱해주면 [T(x)]B
[T(x)]B에 C를 곱해주면 [x]B

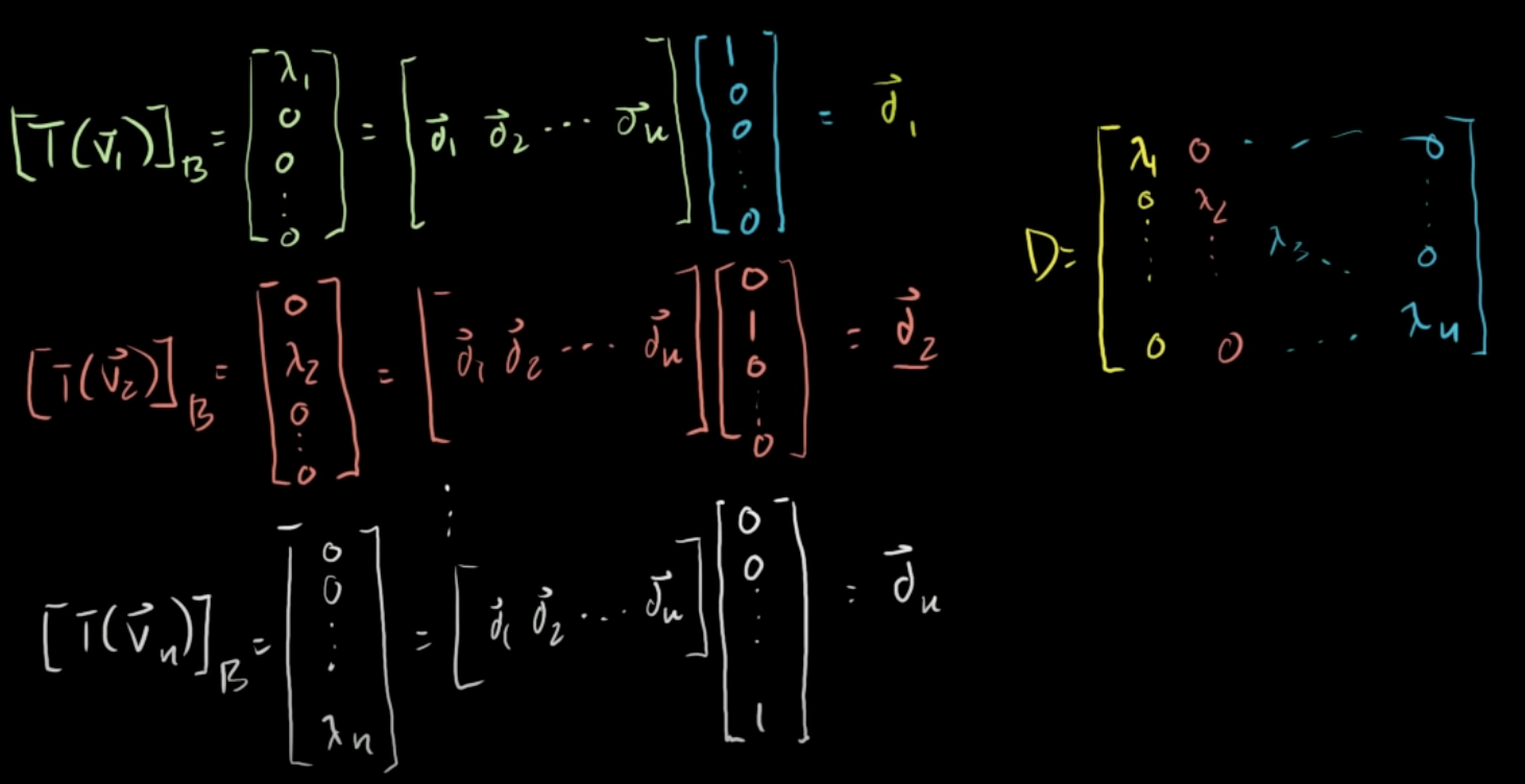
고유벡터를 변환한 값을 기저변환해보자.
[T(v1)]B = [λ1, 0, ..., 0] = d1
[T(v2)]B = [0, λ2, ..., 0] = d2
...
[T(vn)]B = [0, 0, ..., λn] = dn
그러면 [x]B -> [T(x)]B의 변환행렬 D를 구할 수 있다.
D는 대각행렬로 [λ1, λ2, ..., λn]이 된다
결론적으로 A가 n개의 선형독립인 고유벡터를 가지고 있다면, 선형독립인 고유벡터 n개를 찾아서 Rn의 기저를 만들 수 있다.
Rn의 n개의 선형독립인 벡터는 Rn의 기저가 된다.
그러나 이 기저를 사용할 때, A의 선형독립인 고유벡터를 기저로 사용할 때 이를 고유기저라고 한다.
고유기저로 나타낸 변환행렬은 각 고유벡터들의 고유값 λ가 된다.
이 변환행렬은 아주 유용하다.
대각행렬이기 때문에, 곱하기 아주 쉽고, 역행렬도 쉽게 구할 수 있고, 행렬식도쉽게 찾을 수 있다.
'선형대수(Linear Algebra)' 카테고리의 다른 글
| 18-5. 3x3 행렬의 고유벡터와 고유공간 (0) | 2023.06.29 |
|---|---|
| 18-5. 3x3 행렬의 고유값 (0) | 2023.06.28 |
| 18-4. 고유벡터와 고유공간 (0) | 2023.06.27 |
| 18-3. 고유값 구하는 예제 (0) | 2023.06.26 |
| 18-2. 고유값 결정식의 증명 (0) | 2023.06.23 |