반응형
(1) 3x3 행렬의 고유값

사실 3x3 행렬도 2x2보다 계산과정이 복잡하기만 할 뿐, 고유값을 구하는 과정은 동일하다.
λ는 A의 고유값이면, Av = λv를 만족하는 영벡터가 아닌 v가 있다. (필요충분조건)
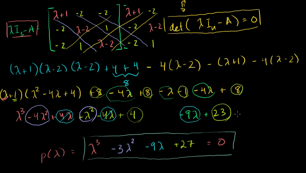
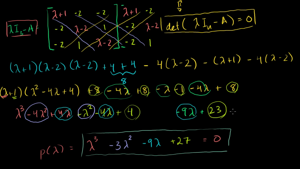
Av = λv 이면, det(λIn - A) = 0 을 만족한다. (필요충분조건)
A = [ -1 2 2 ; 2 2 -1; 2 -1 2] 이면, λIn - A = [λ+1 -2 -2; -2 λ-2 1; -2 1 λ-2] 이다.

사루스의 법칙을 활용하여, 판별식을 계산해보자.
대각선 - 대각선으로 구하면 된다.
(λ+1)(λ-2)(λ-2) + 4 + 4 - 4(λ-2) - (λ+1) - 4(λ-2) = 0
λ³ - 3λ² - 9λ + 27 =0

λ²(λ - 3) - 9(λ - 3) = 0
(λ² - 9)(λ - 3) = 0
λ = 3 or λ = - 3
사루스의 법칙을 활용하여, 판별식이 0인 고유값 λ를 쉽게 구할 수 있다.
반응형
'선형대수(Linear Algebra)' 카테고리의 다른 글
| 18-6. 고유기저와 좌표계 (0) | 2023.07.01 |
|---|---|
| 18-5. 3x3 행렬의 고유벡터와 고유공간 (0) | 2023.06.29 |
| 18-4. 고유벡터와 고유공간 (0) | 2023.06.27 |
| 18-3. 고유값 구하는 예제 (0) | 2023.06.26 |
| 18-2. 고유값 결정식의 증명 (0) | 2023.06.23 |