(1) 4대 부분공간의 직교
14장에서는 직교보공간(직교여공간)에 대해서 알아보려고 하는데,
이에 앞서서 앞에서 다룬 부분공간들이 어떻게 수직이 되는지 알아보고 넘어가려고 한다.
일단 내적이 0인 두 벡터는 수직이다.
그리고, 어떤 부분공간에 속한 모든 벡터들이 다른 부분공간에 속한 벡터들과 모두 수직이라면, 두 부분공간은 수직이다.
예를 들어, 행공간과 영공간은 수직이다.
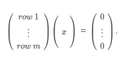
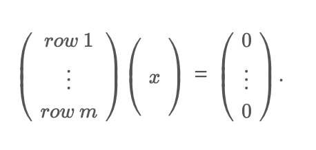
(2) 행공간과 영공간
행공간과 영공간은 직교이다.
행렬 A의 행공간은 A의 행 벡터로 생성되고,
영공간은 Ax = 0을 만족하는 x로 생성된다.
Ax = 0는

[row1; row2; ....; row m) x = [0; 0; ...; 0]을 만족시키려면,
row1*x1 = 0 이 되므로,
모든 행 벡터와 x의 내적이 0이 되어야한다.
따라서, 행공간과 영공간은 직교이다.
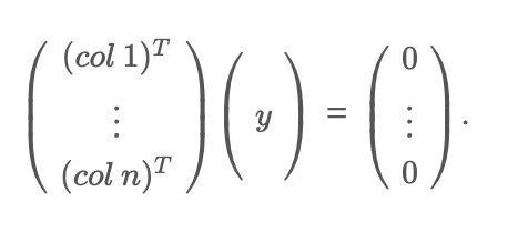
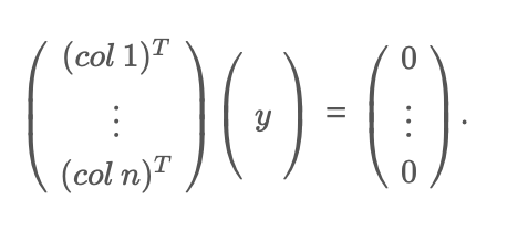
(3) 열공간과 좌영공간
열공간과 좌영공간도 직교이다.
열공간은 A의 열벡터로 생성되는 부분공간이다.
Aty = 0을 만족하는 y로 생성되는 것이 좌영공간이다. (Aty = 0, ytA=0 은 같은 식)
Aty = 0 은

[(col 1)T; (col 2)T; ....; (col n)T) y = [0; 0; ...; 0]을 만족시키려면,
(col n)T * yn = 0을 만족하는 y를 구해야한다.
(col n)T라는 행 벡터들은 A의 열벡터와 같은 벡터 값을 가진다.
따라서, A의 열벡터와 y의 내적은 0이어야 한다.
그래서, 열공간과 좌영공간은 직교한다.
결론적으로 행공간, 열공간, 영공간, 좌영공간에서 2쌍의 직교 관계가 존재한다.

그림으로 표현하면 위와 같으며,
행공간(C(AT))는 영공간(N(A))와 직교
열공간(C(A))는 좌영공간(N(AT))와 직교
'선형대수(Linear Algebra)' 카테고리의 다른 글
| 14-3. 부분공간 V와 퇴화차원의 관계 (0) | 2023.05.03 |
|---|---|
| 14-2. 직교보공간(직교여공간) (1) | 2023.04.28 |
| 13-2. 행렬과 전치행렬의 계수(Rank) (0) | 2023.04.24 |
| 13-1. 전치행렬의 열공간, 영공간, 좌영공간 (0) | 2023.04.21 |
| 12-8. 변환에서 행렬식의 의미 (0) | 2023.04.19 |