반응형
(1) 행렬식 (스칼라 곱)

행렬의 행에 스칼라 곱을 했을 때, 행렬식이 어떻게 변화하는지 알아보자.
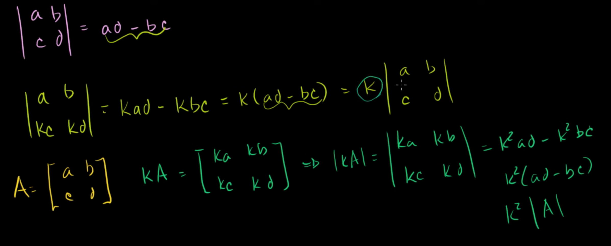
행렬 A = [a b; c d]가 있으면, 행렬식 |A| 은 ad - bc 이다.
만약 2번째 행에 k배를 해서 [a b; kc kd]가 된다면, 행렬식은 kad - kbc = k(ad - bc) = k|A|이다.
행렬 자체에 k배를 한다면, kA = [ka kb; kc kd]가 되고, 행렬식은 k²(ad - bc) = k²|A| 이다.
즉, 하나의 행에 스칼라곱을 할 때마다 |A|가 스칼라 곱이 된다.

행렬이 3 x 3이더라도 적용된다.
3 x 3 행렬 A의 행렬식을 |A|라고 한다면,
하나의 행이 k배가 되었다면, 행렬식은 k|A|가 된다.

이를 일반화해보자.
n x n인 행렬 A가 있다고 하자.
행렬식을 구하는 것을 나타내보면, 부호 * 기준이 되는 행 i의 원소 * det(Aij)의 합으로 표현할 수 있다.
(** 위에서는 Aij라고 했는데, det(Aij)가 맞다.)
det(A) = Σ (-1)^(i+j) * aij * det(Aij)로 나타낼 수 있다.
만약 A의 i번째 행에 k를 곱해줬다면,
det(A) = k * Σ (-1)^(i+j) * aij * det(Aij) 으로 표현할 수 있다.

결론적으로 A에 스칼라 k를 곱한 행의 개수인 n개라면, (k^n)*(det(A))가 된다.
-> 2개면 k²|A|
-> 4개면 k⁴|A|
반응형
'선형대수(Linear Algebra)' 카테고리의 다른 글
| 12-3. 행렬식 (같은 값의 행이 있을 때) (0) | 2023.04.15 |
|---|---|
| 12-2. 행렬식(행이 더해진 형태) (0) | 2023.04.14 |
| 11-4. 사루스의 법칙(Rule of Sarrus) (0) | 2023.04.12 |
| 11-3. 행렬식(det)이나 부분행렬에서의 부호 (0) | 2023.04.12 |
| 11-2. n x n 행렬의 역행렬 구하기 (0) | 2023.04.11 |