(1) 행이 더해진 행렬식

이번에는 행렬의 행의 일부가 더해진 형태일 때, 행렬식이 어떻게 변하는지 알아보자
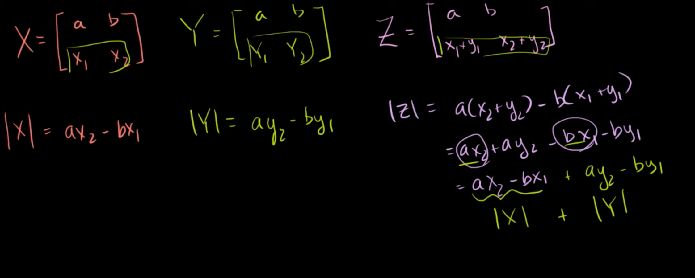
X = [a b; x1 x2], Y = [a b; y1 y2], Z = [a b; x1+y1 x2+y2] 라고 해보자.
이 경우, Z의 두번째 행이 X와 Y의 두번째 행이 더해진 형태이다.
이 때, 더해진 행 외의 다른 행들은 모두 동일해야 한다.
det(X) = ax2 - bx1
det(Y) = ay2 - by1
det(Z) =(ax2 - bx1) + (ay2 - by1)
det(Z) = det(X) + det(Y)가 된다.
*** 행렬이 더해진 경우가 아니다. 행렬의 행이 더해진 형태라는 것이다!!

3x3 행렬에서도 적용되는지 알아보자.
위와 같이 X, Y, Z가 있다.
두번째 행이 [x1, x2, x3], [y1, y2, y3], [x1+y1, x2+y2, x3+y3]의 형태이고, 나머지 행은 동일하다.
이 경우에도 det(X) + det(Y) = det(Z)가 성립한다.

일반화해서 nxn 행렬에서도 적용되는지 알아보자.
위와 같이 X, Y, Z가 있고, i번째 행이 [x1, x2, ..., xn], [y1, y2, ..., yn], [x1+y1, x2+y2, ..., xn+yn]이다.
이 때도 역시, det(X) + det(Y) = det(Z) 가 성립한다.
노란색 글씨로 써놨지만, Z = X + Y 인 행렬의 덧셈의 경우에는 det(Z) = det(X) + det(Y)가 성립하지 않는다.
이걸 왜 하지? 라는 생각을 할 수도 있는데, 나중에 선형대수에서도 잘 활용된다고 하니 알아두고 넘어가자.
'선형대수(Linear Algebra)' 카테고리의 다른 글
| 12-4. 행렬식(복합 연산) (0) | 2023.04.15 |
|---|---|
| 12-3. 행렬식 (같은 값의 행이 있을 때) (0) | 2023.04.15 |
| 12-1. 행렬식(행이 스칼라곱 되었을 때) (1) | 2023.04.13 |
| 11-4. 사루스의 법칙(Rule of Sarrus) (0) | 2023.04.12 |
| 11-3. 행렬식(det)이나 부분행렬에서의 부호 (0) | 2023.04.12 |