(1) 영공간과 Ax=b의 거리

앞에서 정리한 내용을 요약해보면 영공간(N(A))를 그려보고, 이와 직교여공간인 N(A)⊥를 표현해보았다.
N(A)⊥ = C(AT) = R(A) 이다.
R(A)에 Ax=b를 만족하는 해가 1개 존재하며, 이것이 가장 작은 x가 된다.
이 과정을 실제 값을 가지고 해보자.
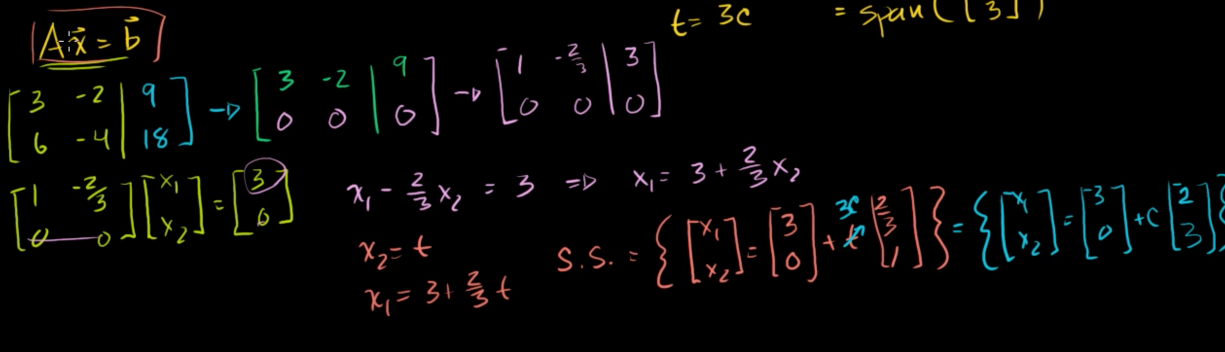
A = [3, -2; 6, -4] b= [9; 18]이다.
N(A)를 구하고, Ax=b의 해집합을 구하고, N(A)⊥를 구한 다음, N(A)⊥의 원소이면서 x의 해인 값(최단 벡터)을 구해보자.
1. N(A)구하기.
N(A)는 N(rref(A))와 같기 때문에, rref형태로 변환하여 영공간을 구해보자.
N(rref(A))에서 x1 = 2/3t x2 = t 라는 결과를 얻을 수 있다.
따라서, N(A) = span([2, 3])과 같다.
2. Ax = b의 해집합 구하기

Ax = b를 위와 같이 첨가행렬로 나타내서 풀어보면,
x1 = 3 + 2/3t
x2 = t
따라서, x = [3, 0] + span([2, 3])
3. N(A)⊥ 구하기

AT = [3, 6; -2, -4]
위의 그림과 같이 [6, -4]는 [3, -2]의 배수이므로 무시할 수 있다.
그러므로 C(AT) 는 span([3, -2])가 된다.
4. 그래프에 표현해보기.

그래프 상에 N(A), Ax=b의 해집합, C(AT)를 그려보았다.
그러면 C(AT)에 존재하는 단 1개의 초록색 벡터의 길이가 가장 짧다는 것을 알 수 있다.
(길이를 재는 것이기 때문에 원점에서 시작해서 Ax=b 상의 벡터까지의 길이를 재면 됨)

초록색 벡터가 뭔지 구할 수도 있다.
C(AT)가 span([3, -2]) 이기 때문에, 가장 짧은 벡터 r = c[3, -2]로 나타낼 수 있다.
이 벡터는 C(AT)와 Ax=b의 해집합 모두의 원소이다.
Ax=b의 해집합이 [3, 0] + span([2, 3]) 이었다.
x의 해 중 하나는 [3, 0]이다.
따라서, [3, 0] - c[3, -2]를 하면 Ax=b의 해집합 상의 벡터를 표현할 수 있다.
그리고 C(AT)인 행공간의 기저벡터는 [3, -2]가 된다.
이 기저벡터와 ( [3, 0] - c[3, -2])을 내적하게 되면 0이 되어야 한다.
왜냐하면 둘은 직교하기 때문이다.
([3, 0] - c[3, -2])· [3, -2] = 0 을 풀어보면,
c = 9/13
따라서, 초록색 벡터는 [27/13, -18/13]이 된다.
'선형대수(Linear Algebra)' 카테고리의 다른 글
| 15-2. 평면에 대한 정사영 일반화 및 시각화 (0) | 2023.05.15 |
|---|---|
| 15-1. 부분공간에 대한 정사영(개요) (0) | 2023.05.12 |
| 14-7. Ax=b의 유일한 행공간의 해 (1) | 2023.05.10 |
| 14-6. 영공간의 직교보공간 (0) | 2023.05.09 |
| 14-5. 직교보공간의 직교보공간 (0) | 2023.05.08 |