(1) Ax = b의 유일한 해를 행공간에서 찾기

mxn행렬인 A가 있고, 이를 열벡터의 형태로 표현해보면
A = [a1, a2, ..., an]으로 나타낼 수 있다.
만약, b가 A의 열공간(C(A))의 원소라면, b는 열벡터의 선형결합의 형태로 나타낼 수 있다.
b = x1a1 + x2a2 + ... + xnan 이므로, [a1, a2, ..., an][x1; x2; ...; xn] = b이다.
즉, AX = b를 만족하는 해가 최소 1개 있다는 것이다.
이 내용은 이전의 내용을 복습한 것이다.
Rn이라는 공간에 영공간(N(A))를 그려보고, 이와 직교여공간인 N(A)⊥를 표현해보자.
N(A)⊥ = C(AT) = R(A) 이다.
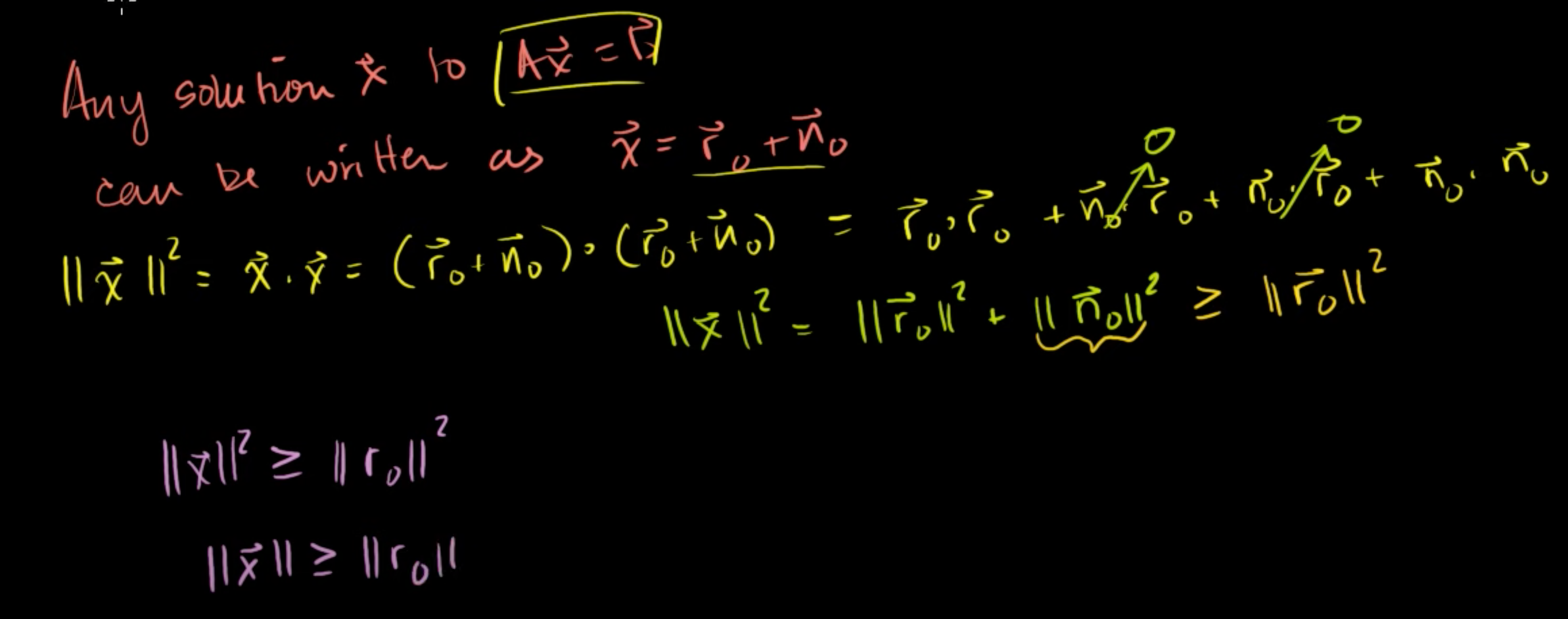
x를 Ax=b의 해라고 하고, x가 Rn의 원소라면
x = r0 + n0로 표현할 수 있다. (r0는 R(A)의 원소, n0는 N(A)의 원소)
왜냐하면 Rn은 부분공간이기 때문에, 원소의 합이나 차의 형태로 표현해도 부분공간 내에 존재하기 때문이다
r0 = x - n0로 정리해볼 수 있고,
Ar0 = A(x-n0) = Ax - An0 = b 가 된다. (Ax = b이고, n0는 영공간의 원소이므로 An0=0)
따라서, r0는 Ax=b의 해가 된다.

위와 같은 과정을 통해 r1이 C(AT)의 원소이고, Ax=b의 해라고 해보자.
(r1-r0)∈C(AT) 가 된다. (왜냐하면 r0, r1은 부분공간의 원소이므로, 덧셈에 닫혀있다.)
A(r1-r0) = Ar1 - Ar0 = b - b = 0이 된다.
따라서, r1-r0인 벡터가 Ax=0의 해이고, N(A)의 원소라고 할 수 있다.
그런데, C(AT)의 원소이면서 N(A)의 원소인 값은 영벡터밖에 없다.
r1 - r0 = 0 이고, r1 = r0라는 식이 나오게 된다.
이렇게 해서 알아낸 것이 무엇일까?
간단히 말하면 r1이 유일한 해라는 사실이다.
풀어서 설명해보면
A의 열공간의 원소인 임의의 원소 b가 있다면, (b∈C(A))
A의 행공간에 존재하는 고유한 원소가 존재하고,
그 고유한 원소 r0는 Ax = b의 해라는 사실이다.

추가적으로 알 수 있는 사실이 있다.
Ax = b의 임의의 해 x는 r0 + n0의 결합으로 쓸 수 있다.
x의 길이를 제곱해보면,
||x||² = x·x = (r0+n0)(r0+n0) = r0·r0 + n0·r0 + r0·n0 + n0·n0 = r0·r0 + n0·n0 = ||r||² + ||n||²
(n0·r0이 0인 이유는 서로 직교하기 때문에, 내적의 값은 0)
즉, ||x||² = ||r0||² + ||n0||² 이고, 길이의 제곱은 0 이상이므로 ||x||² >= ||r0||²
||x||² >= ||r0||² 에서 길이는 0이상이므로 ||x|| >= ||r0||
r0는 가장 작은 해, 그러니까 그 어떤 해도 r0의 길이보다 더 작은 길이를 가질 수 없다는 것이다.

앞에서 얻은 두 결과를 종합해서 정리해보자.
만약, C(A)의 원소인 b가 있으면, Ax=b의 해가 될 수 있는 행공간의 원소는 유일하며, x를 만족하는 해 중 가장 작은 해가 된다.
다른 말로는 Ax = b를 만족하는 x가 될 수 있는 여러 해가 존재하지만, 행공간에 존재하는 r0은 최소의 길이를 갖는 해가 된다.
이 개념을 다음 글에서 실제 예와 함께 시각화해서 보면, 더 명확하게 알 수 있을 것이다.
'선형대수(Linear Algebra)' 카테고리의 다른 글
| 15-1. 부분공간에 대한 정사영(개요) (0) | 2023.05.12 |
|---|---|
| 14-8. (예제) Ax=b의 유일한 행공간의 해 (0) | 2023.05.11 |
| 14-6. 영공간의 직교보공간 (0) | 2023.05.09 |
| 14-5. 직교보공간의 직교보공간 (0) | 2023.05.08 |
| 14-4. Rn의 원소를 V와 직교여공간으로 나타내기 (0) | 2023.05.04 |