(1) 직교기저 변환행렬 구하기 및 그 활용

모든 열벡터들이 정규직교집합을 형성하는 행렬 C가 있다.
C가 n x k 행렬일 때, CTC = Ik가 된다고 했다. (대각선 성분을 제외한 모든 것들이 상쇄되어 0이 된다.)
만약, C가 k=n 인 정사각행렬이라면 어떻게 될까?
C의 모든 열들은 서로 선형독립이고, C는 가역성을 지닌다.
또한, n개의 열들은 Rn의 기저가 된다.
C-1C = In 이고, CTC = In이기 때문에, C-1 = CT가 된다.
결론적으로, n x n 행렬의 열들이 정규직교집합을 형성한다면, C-1 = CT 이다.

어떤 벡터 v1, v2, v3이 있고, 이 벡터들은 모두 단위벡터이고 정규직교집합을 형성하며, R3의 정규직교기저가 된다.
v1과 v2에 의해 생성된 평면 V가 있다고 하면, v3는 평면의 직교여공간이 된다.
평면 위에 존재하지 않는 벡터 x가 있고, 이를 평면에 대칭하는 변환 T를 해서 T(x)를 구하려고 한다고 해보자.
만약 v1, v2, v3를 평면에 대칭으로 변환한다면, T(v1) = v1, T(v2) = v2, T(v3) = -v3 이 될 것이다.
과거에 했던 것처럼 R3의 표준 기저 벡터를 구하고 변환을 적용하면, 변환된 벡터와 변환행렬을 구할 수 있지만
평면의 기울기를 계산하고 시각화하기는 매우 까다로우며 삼각법을 많이 사용해야 해서 매우 복잡하다.
그래서, x 에 A를 곱해서 T(x)를 구하는 것이 아니라,
x에 C-1을 곱해서 [v]B를 구하고, [v]B에 D를 곱해서 [T(x)]B를 구하고, C를 곱해서 다시 T(x)를 구하는 것이 더 쉬울 수 도 있다.
T(x) = Ax
T(x) = CDC-1x = CDCTx 이다.
A = C D CT 이다

이를 v1, v2, v3에 적용해서 구해보자.
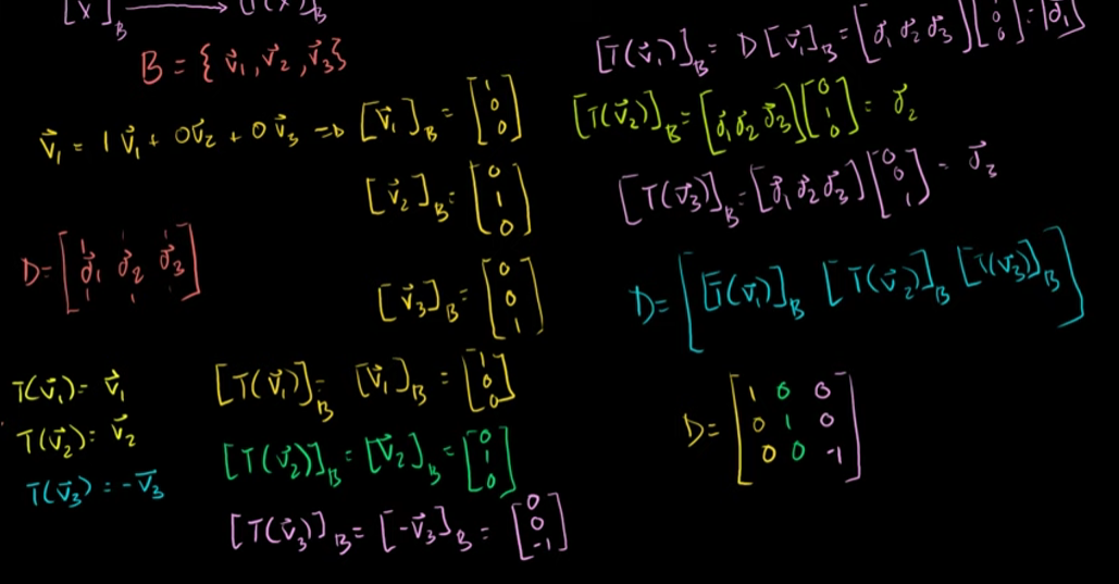
B = {v1, v2, v3} 인 정규직교집합이다.
이 때의 v1, v2, v3를 B에 대해서 변환해보면,
[v1]B = [1 0 0]
[v2]B = [0 1 0]
[v3]B = [0 0 1]
D = [d1, d2, d3]
그래서
[T(v1)]B = D[v1]B = d1
[T(v2)]B = D[v2]B = d2
[T(v3)]B = D[v3]B = d3
앞에서 T(v1) = v1, T(v2) = v2, T(v3) = -v3 이었으므로,
[T(v1)]B = [v1]B = [1 0 0]
[T(v2)]B = [v2]B = [0 1 0]
[T(v3)]B = [-v3]B = [0 0 -1]
따라서, D = [1 0 0; 0 1 0; 0 0 -1] 이다.

A = C D CT 를 계산해보자.
C = [2/3, 2/3, 1/3; -2/3, 1/3, 2/3; 1/3, -2/3, 2/3]
D = [1 0 0; 0 1 0; 0 0 -1]

CDCT = 1/9[7 -4 -4; -4 1 -8; -4 -8 1] 이 된다.
나름 꽤나 쉽게(?) 구한 편이다.
'선형대수(Linear Algebra)' 카테고리의 다른 글
| 17-7. 그람-슈미트 과정 (0) | 2023.06.14 |
|---|---|
| 17-6. 직교기저변환은 각도와 길이를 보존한다 (0) | 2023.06.13 |
| 17-4. 정규직교기저 활용 예시(정사영 계산) (0) | 2023.06.11 |
| 17-3. 정규직교기저 활용(정사영 계산) (1) | 2023.06.10 |
| 17-2. 정규직교기저 활용(좌표계산) (0) | 2023.06.10 |