선형대수(Linear Algebra)
17-4. 정규직교기저 활용 예시(정사영 계산)
frcn
2023. 6. 11. 21:51
반응형
(1) 정규직교기저 활용해서 정사영 계산하기

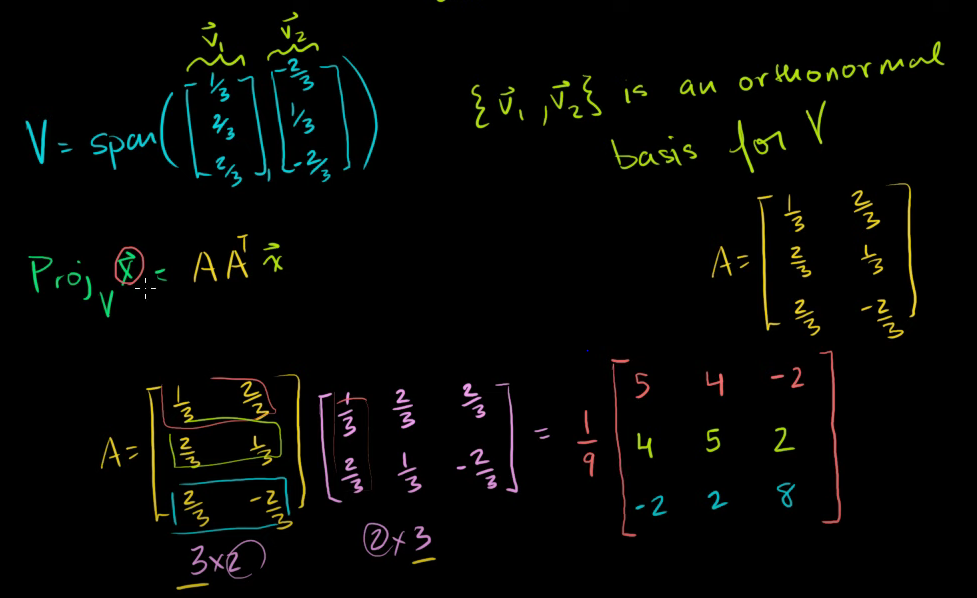
저번 글에서 정규직교기저가 있을 때, 부분공간 V에 대해 Rn의 벡터 x의 정사영을 찾고 싶다면 projVx = AATx로 표현할 수 있다고 했다.
A = [v1, v2, ..., vk] 이므로, 기저벡터를 열로 가지고 있는 행렬이다.
V가 span([1/3, 2/3, 2/3], [2/3, 1/3, -2/3])의 공간이라고 하자.
두 벡터의 길이를 계산해보면 1이고, 서로 직교한다는 것을 알 수 있다.
따라서, v1, v2는 V의 정규직교기저이다.
부분공간은 R3의 평면이고, v1 v2가 정사영한다고 해보자.

A가 v1, v2를 열벡터로 가지는 행렬로 만들어보자.
A = [1/3, 2/3, 2/3; 2/3, 1/3, -2/3]
projVx = AATx
= 1/9 [5 4 -2; 4 5 2; -2 2 8] x
이런 식으로 부분공간 V에 대한 R3의 임의의 벡터의 정사영의 변환행렬을 구할 수 있다.
앞에서 전치하고 역행렬을 구해서 변환행렬을 구했던 것보다는 확실히 빠르고 쉽게 변환행렬을 구할 수 있다.
반응형