16-3. 기저변환행렬의 가역성
(1) 기저변환행렬의 가역성

이전 글과 같이 B = {v1, v2, ..., vk} 인 기저벡터 집합이라고 하자.
그리고 n x k의 기저변환행렬 C가 있다.
벡터 a를 B에 대하여 나타내면, 기저변환행렬의 곱 형태로 나타낼 수 있었다.
C [a]B = a
기저변환행렬 C에 역행렬이 존재한다고 가정해보자.
그러면, C는 정사각행렬로 k = n인 n개의 n차원 기저벡터의 형태로 표현할 수 있게 된다.
그리고, 선형독립이게 된다. (열벡터가 부분공간의 기저를 이루기 때문이다)
만약 C가 가역적일 때, B의 생성(span)을 구해보면 Rn이 된다. (역행렬이 존재한다면 기저벡터의 선형결합을 이용하여 Rn의 어떤 벡터라도 만들 수 있기 때문)
반대로 만약 B의 생성이 Rn일 때, C는 가역적이라는 것도 성립한다. (B가 Rn의 기저라면, C는 k=n이고 선형독립인 정사각행렬이기 때문)
(2) 예시

예시를 들어서 계산해보자.
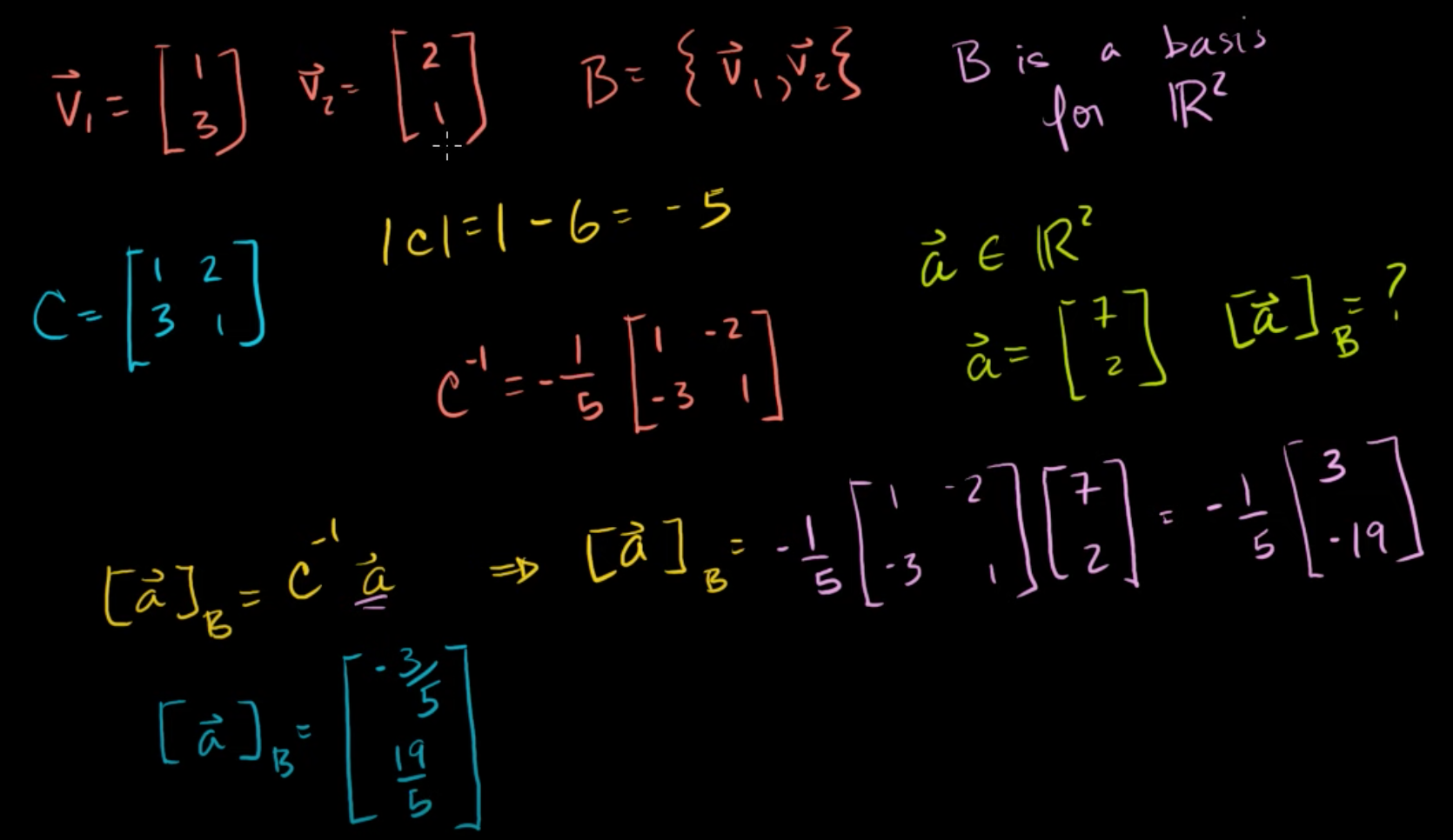
v1 = [1, 3], v2 = [2, 1] 이고, B={v1, v2}인 R2의 기저벡터집합이고, a=[7,2]라면 [a]B는 무엇일까?
C = [1, 2; 3, 1] 이고, C의 역행렬은 -1/5[1, -2; -3, 1] 이다.
C[a]B = a
[a]B = C-1a 이므로,
[a]B = -1/5[1, -2; -3, 1] [ 7, 2] = -1/5[3, -19]

[w]B = [1, 1] 일 때, w는 무엇일까?
앞과 조건이 동일하기 때문에, C = [1, 2; 3, 1]이다.
w = C[w]B 이므로,
w = [1, 2; 3, 1] [1, 1] = [3, 4]