7-7. 선형변환의 합, 스칼라 곱
(1) 선형변환의 합

이번의 내용은 매우 간단하다.
두 개의 선형변환이 있을 때, 이들을 더하거나 스칼라를 곱하면 어떻게 되는지 알아볼 것이다.
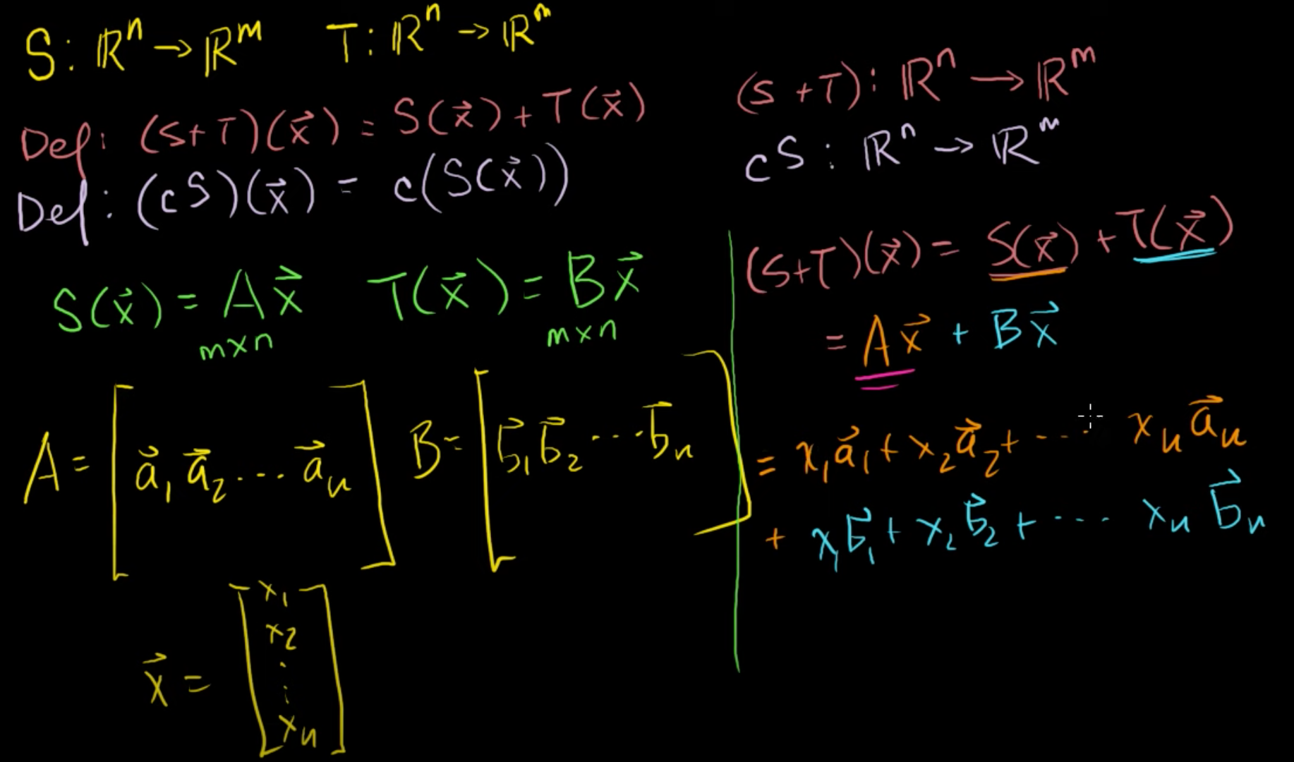
두개의 변환 S와 T가 있고, 둘 다 Rn에서 Rm으로 가는 변환이다.
합과 곱의 결론을 먼저 써보면,
두 변환들을 더하면, 벡터 x가 각각 변환된 두 벡터의 합과 같다.
식으로 표현하면,
(S+T)(x) = S(x) + T(x) 이다.
이 역시
Rn에서 Rm으로 가는 변환이다.
임의의 변환에 스칼라 c배를 한 값은 x에 스칼라 c배를 해서 변환한 값과 같다.
식으로 표현하면, (cS)(x) = c(S(x)) 이다. 이 역시 Rn에서 Rm으로 가는 변환이다.
이를 증명해보자.
S(x) = Ax, T(x) = Bx 라고 하자.
A = [a1, a2, ..., an], B = [b1, b2, ..., bn] 과 같이 열벡터들로 표현할 수 있다.
x = [x1; x2; ... xn;] 으로 나타낼 수 있다.
S(x) + T(x)= Ax + Bx= [a1, a2, ..., an]x + [b1, b2, ..., bn]x= xa1 + xa2 + ... + xan + xb1 + xb2 + ... + xbn=
x1(a1+b1)+ x2(a2+b2) + ... + xn(an+bn)

x1(a1+b1)+ x2(a2+b2) + ... + xn(an+bn) 은
[a1+b1, a2+b2, ..., an+bn] [x1; x2; ... xn;] 으로 표현될 수 있다.
정리된 식은 새로운 행렬로 표현하면, (A+B)x 이다.
따라서, S(x) + T(x) = Ax + Bx = (A+B)x = (S+T)(x) 이다.
이제 x의 두 선형변환의 합을 행렬 벡터의 곱으로 나타낼 수 있다.
(2) 선형변환의 스칼라 곱

c(S(x)) = cAx 이고,
cAx
= c(x1a1 + x2a2 + ... + xnan)
= x1ca2 + x2ca2 + .... + xncan
= [ca1, ca2, ..., can] [x1; x2; ... xn]
= cS(x)
따라서, cS(x) = S(cx)가 성립한다.